https://www.naturpack.sk/na-stiahnutie/dokumenty-obce/
Obec Kružlov ponúka na prenájom priestory ambulancie Všeobecného lekára pre deti a dorast v budove zabehnutého zdravotného strediska v Kružlove.
Budova a priestory ambulancie sú kompletne zrekonštruované a zariadené novým vybavením.
V prípade potreby zabezpečíme ubytovanie (trojizbový alebo dvojizbový byt).
Obec Kružlov oznamuje:
- Úroveň vytriedenia komunálnych odpadov za rok 2022
- Ohlásenie o vzniku odpadu a nakladania s ním za rok 2022
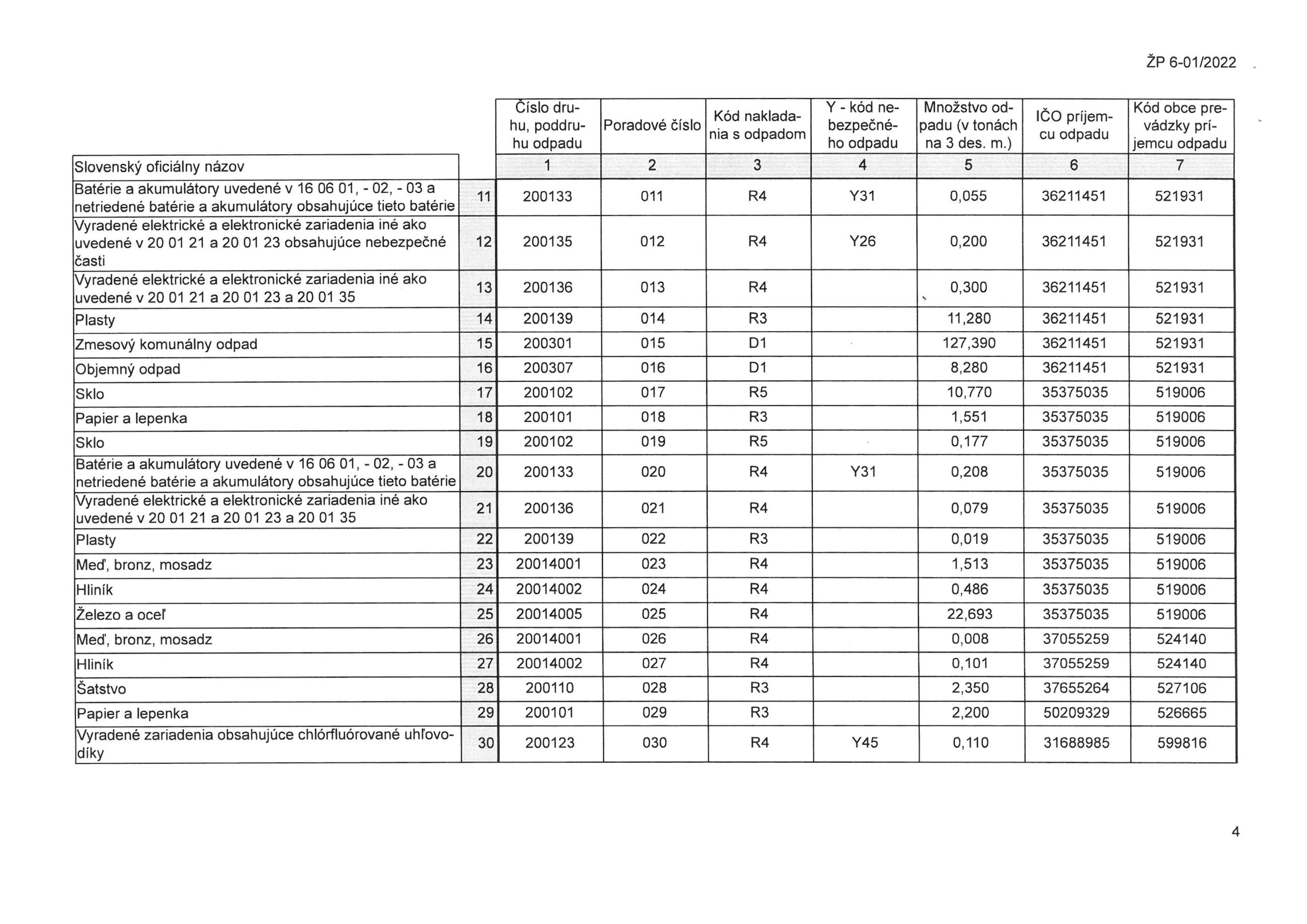
V zmysle Zákona č. 79/2015 Z.z. o odpadoch § 81, bod 7, písm. j obec Kružlov zverejňuje údaje o komunálnom odpade v rozsahu štátneho štatistického zisťovania podľa osobitného predpisu za rok 2022:
3. Ročný výkaz o komunálnom odpade za rok 2022































